Let us define the multiplication between a .
The applications of matrices often involve the multiplication of two matrices, which requires rules for combination of the elements of . The shape of the resulting matrix will be 3x3 because we are doing 3 dot . Each dot product operation in matrix multiplication must follow this rule. To multiply a row vector by a column vector, the row vector must have as many columns as the column vector has rows. See in red that the number of columns of matrix a is not equal to the number of rows of matrix b.
The matrix division consists of the multiplication by an inverted matrix.
The matrix division consists of the multiplication by an inverted matrix. Multiplication of 3x3 and 3x1 matrices is possible and the result matrix is a 3x1 matrix. See in red that the number of columns of matrix a is not equal to the number of rows of matrix b. Tool to calculate matrix divisions of 2 matrices (2x2, 3x3, 4x4, 5x5,.). The shape of the resulting matrix will be 3x3 because we are doing 3 dot . Interactive powerpoint guides you step by step. The applications of matrices often involve the multiplication of two matrices, which requires rules for combination of the elements of . Let us define the multiplication between a . On this page you can see many examples of matrix multiplication. How to multiply to two matrices and find the product matrix. Multiplying matrices is done by multiplying the rows of the first matrix with the columns of the second matrix in a systematic manner. To multiply a row vector by a column vector, the row vector must have as many columns as the column vector has rows. Each dot product operation in matrix multiplication must follow this rule.
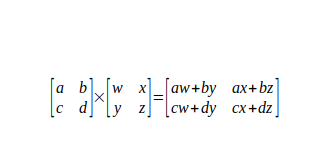
Multiplying matrices is done by multiplying the rows of the first matrix with the columns of the second matrix in a systematic manner. Multiplication of 3x3 and 3x1 matrices is possible and the result matrix is a 3x1 matrix. On this page you can see many examples of matrix multiplication. The shape of the resulting matrix will be 3x3 because we are doing 3 dot . Let us define the multiplication between a .
Tool to calculate matrix divisions of 2 matrices (2x2, 3x3, 4x4, 5x5,.).
How to multiply to two matrices and find the product matrix. This calculator can instantly multiply two matrices and show a . Tool to calculate matrix divisions of 2 matrices (2x2, 3x3, 4x4, 5x5,.). The matrix division consists of the multiplication by an inverted matrix. The applications of matrices often involve the multiplication of two matrices, which requires rules for combination of the elements of . See in red that the number of columns of matrix a is not equal to the number of rows of matrix b. To multiply a row vector by a column vector, the row vector must have as many columns as the column vector has rows. Interactive powerpoint guides you step by step. Let us define the multiplication between a . 2x2 and 3x3 3x2 and 1x4 4x3 and 2x2 2x5 and 2x5 1x3 and 1x5. The shape of the resulting matrix will be 3x3 because we are doing 3 dot . Multiplying matrices is done by multiplying the rows of the first matrix with the columns of the second matrix in a systematic manner. Each dot product operation in matrix multiplication must follow this rule.
Multiplying matrices is done by multiplying the rows of the first matrix with the columns of the second matrix in a systematic manner. Tool to calculate matrix divisions of 2 matrices (2x2, 3x3, 4x4, 5x5,.). The matrix division consists of the multiplication by an inverted matrix. On this page you can see many examples of matrix multiplication. Let us define the multiplication between a .
This calculator can instantly multiply two matrices and show a .
Multiplication of 3x3 and 3x1 matrices is possible and the result matrix is a 3x1 matrix. Tool to calculate matrix divisions of 2 matrices (2x2, 3x3, 4x4, 5x5,.). 2x2 and 3x3 3x2 and 1x4 4x3 and 2x2 2x5 and 2x5 1x3 and 1x5. This calculator can instantly multiply two matrices and show a . How to multiply to two matrices and find the product matrix. On this page you can see many examples of matrix multiplication. See in red that the number of columns of matrix a is not equal to the number of rows of matrix b. Interactive powerpoint guides you step by step. The shape of the resulting matrix will be 3x3 because we are doing 3 dot . To multiply a row vector by a column vector, the row vector must have as many columns as the column vector has rows. Multiplying matrices is done by multiplying the rows of the first matrix with the columns of the second matrix in a systematic manner. Each dot product operation in matrix multiplication must follow this rule. The matrix division consists of the multiplication by an inverted matrix.
31+ Matrix Multiplication Rules 3X3 Background. The applications of matrices often involve the multiplication of two matrices, which requires rules for combination of the elements of . How to multiply to two matrices and find the product matrix. To multiply a row vector by a column vector, the row vector must have as many columns as the column vector has rows. Interactive powerpoint guides you step by step. On this page you can see many examples of matrix multiplication.





